近年來,隨著石油化工裝置運行年限的增加,設備和管道的保溫層下腐蝕(CUI)問題變得日益突出,嚴重威脅裝置的安全穩定運行。在分析CUI成因的基礎上,綜述了傳統CUI檢測方法和新型無損監檢測技術的研究進展,對比分析了各種CUI檢查方法的優缺點。選擇CUI的檢查方法時應從可操作性、工作量、效率、效果、成本及安全等方面進行綜合評判和分析,選擇出最合適的監檢測技術或方法,從而實現精準高效監檢測。
關鍵詞:保溫層下腐蝕(CUI);檢測;石油化工裝置;應力腐蝕開裂
基金項目:中國石化集團公司科技開發項目(CLY19141)
在石油化工行業中,出于節能和工藝考慮,多數設備和管道需要采取絕熱保溫層措施。然而,設備和管道運行過程中,會發生保溫層下腐蝕(CUI),特別是沿海企業,CUI問題更為突出,嚴重時甚至發生腐蝕泄漏,導致非計劃停工,嚴重威脅了裝置的安全穩定長周期運行,影響企業的經濟效益[1-3]。由于CUI具有一定的偶然性和隱蔽性,很難在第一時間發現。傳統的檢測方法是拆除保溫層結構,進行目視檢查、滲透檢測和超聲波測厚等,這些方法檢測效率低,且拆除保溫層結構成本較高,難以滿足企業的檢測需求。
該文綜述了不同CUI監檢測方法,對比分析了不同CUI檢測方法的應用情況和優缺點,提出CUI檢測方法的發展趨勢,為石油化工企業CUI檢測提供借鑒。
1 CUI成因分析
采用了保溫層結構的設備或管道,由于水分的滲入而又無法及時揮發導致保溫層下金屬發生的腐蝕現象稱為保溫層下腐蝕(CUI)。CUI分為兩種類型:一是碳鋼或低合金鋼發生的均勻腐蝕或坑蝕,其腐蝕產物通常為松散的片狀腐蝕產物結構;另一種是奧氏體不銹鋼的應力腐蝕開裂。CUI腐蝕形貌見圖1。
1.1 腐蝕機理
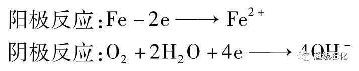
在裝置運行中,保溫層的結構被破壞導致水分進入,保溫材料的多孔結構對水分起到一定的滯留作用,從而在保溫層下形成電化學腐蝕環境。同時保溫材料中含有一定量的Cl和S等元素,加劇了腐蝕,其電化學腐蝕反應方程式如下:

陽極和陰極反應的 Fe2+和 OH-生成Fe(OH)2,在氧氣作用下進一步生成 Fe(OH)3和Fe3O4,腐蝕產物疏松易脫落,缺乏保護性,從而進一步加劇腐蝕。

圖1 保溫層下腐蝕形貌
1.2 影響因素
CUI主要受水分、溫度和保溫材料類型等因素的影響[5]。保溫層結構中水分的滯留是導致CUI發生的直接原因,水分的來源主要包括保溫層結構被破壞后雨水的滲入和金屬表面產生的冷凝水。保溫層下水分的滯留和氧含量受溫度影響較大,碳鋼和低合金鋼CUI的敏感溫度區間為-12~175℃,奧氏體不銹鋼保溫層下應力腐蝕開裂的敏感溫度區間為60~205℃,而雙相不銹鋼應力腐蝕開裂敏感性較低。圖2為碳鋼在水中的腐蝕速率與溫度的關系。從圖2可以看出:在開放系統中,溫度升高,水中氧含量降低,在80℃以上時,碳鋼的腐蝕速率開始明顯降低;但是在封閉系統中,隨著溫度的升高,碳鋼的腐蝕速率持續增大直至達到水分可以快速蒸發的溫度為止[5-6]。

圖2 溫度對碳鋼腐蝕速率的影響
保溫材料具有一定的吸水性,其中含有的氯化物、硫酸鹽等可溶性鹽類增加了水溶液的導電性,且金屬鹽類的水解會導致溶液pH值降低,這些均對電化學腐蝕過程具有促進作用。在大量水分存在的區域,CUI的溫度上限也會隨之升高。此外,設備或管道在冷熱循環、干濕交替等工況下運行也會加速 CUI。
2 CUI監檢測技術應用現狀
2.1 目視檢查
目視檢查是通過拆除設備或管道的外保溫層結構,直接觀察并配合超聲波測厚獲得保溫層下金屬材料的腐蝕及裂紋狀況的檢測方法。該方法的突出特點是簡單、直接、有效,但是,由于拆除保溫層結構工作周期長、工作量大導致成本較高,且恢復后的保溫層質量也難以得到保證,易發生二次腐蝕。鑒于以上原因,該方法在實施過程中通常又適宜于進行局部的單點檢測,難以實現全面檢查,檢查結果存在片面性,不能真實地反映保溫層下腐蝕狀況。因此,該方法更適合于企業生產管理人員的日常巡檢,針對發現保溫層結構破損的部位實現快速篩查。
2.2 滲透檢測技術
滲透檢測技術是利用毛細作用的原理,將溶有熒光染料和著色染料的液體涂覆到管道或設備表面,形成放大了的缺陷,有效地實現檢測的方法。滲透檢測技術可用于不銹鋼保溫層下應力腐蝕開裂(ESCC)檢測,具有操作簡便、快速和檢測結果直觀等特點,成本較低。然而,實施滲透檢測技術前需要拆除保溫層結構,適用于局部小范圍檢查,若用于大面積檢查則效率偏低。此外,該方法僅能檢測出表面的裂紋分布,難以確定裂紋深度并做出定量評價。
2.3 紅外熱成像技術
紅外熱成像的原理是將不同溫度物體輻射出的不可見紅外能量以熱圖像的形式呈現出來,可精準識別保溫層結構中異常的溫度區域[14]。保溫層進水后,其導熱系數會明顯提高,與未發生進水部位的溫差明顯增大,通過紅外圖像可以直觀地發現進水部位,針對異常部位及早檢查處理,防患于未然。
馬永明[15]采用紅外熱成像的方法對某企業常壓塔頂部位進行檢測,發現該處存在異常溫度,溫差達到20℃以上,兩個月后該處出現油氣泄漏引發火災導致裝置停工,由此可知,紅外熱成像技術在一定程度上能夠及早發現溫度異常部位,識別潛在腐蝕風險。
紅外熱成像儀便于攜帶、操作簡單、檢測效率高,且不受檢測距離的限制,避免了高處保溫層結構檢測耗時耗力的缺點,檢測范圍較廣,可實現對設備和管道的大面積掃查,有效避免局部疏漏。紅外熱成像法屬于間接檢測,通過發現保溫層結構的溫度異常點,拆除保溫結構,并結合目視檢查進一步確定腐蝕狀況。紅外熱成像法不適合用于埋地保溫層結構的檢測。
2.4 脈沖渦流檢測技術
脈沖渦流檢測原理:對被測物體施加一個具有一定占空比的脈沖方波信號,當迅速切斷方波信號時,被測物體周圍的磁場會迅速衰減,被測物體在衰減的磁場中感應出脈沖渦流,脈沖渦流進而產生二次磁場,此時切斷激勵電流產生的一次磁場為零,如果被測物體表面有缺陷,就會反映出二次磁場的變化,通過檢測線圈將二次磁場的變化轉換為電壓信號,可以判斷出被測物體表面的缺陷狀況。
仇朝軍等[20]對帶有保溫層結構的Q235B壓力容器進行了脈沖渦流檢測,檢測結果與容器實際缺陷的分布和大小一致。脈沖渦流檢測不需要將探頭與試樣表面直接接觸,在保持一定距離的情況下仍然具有較高的準確度,因此該方法可以在不拆除保溫層的條件下實施CUI檢查。此外,通過使用繩索或移動傳感器連接,脈沖渦流檢測儀可實現自動爬行檢測,大幅度提高檢測效率,降低人工成本。脈沖渦流檢測技術僅適用于碳鋼或低合金鋼等鐵磁性材料,對于非磁性的奧氏體不銹鋼及帶有鍍鋅板覆層的保溫層檢測效果欠佳,因而其應用范圍也受到限制。
2.5 X射線成像技術
X射線成像技術的原理:利用X射線對不同材料的穿透能力不同(對保溫材料穿透能力強、對金屬材料穿透能力弱),通過激發的X射線將管道及其保溫層結構進行投影成像,獲得保溫層滲水和管道表面腐蝕情況等直觀圖像信息,達到CUI無損檢測的目的。
董聰等[23]采用X射線成像技術對某管道進行保溫層下腐蝕檢測見圖3。其中圖3右下側暗色部位為管道主體;亮色與暗色交界面為管道的外表面輪廓,該線條越不光滑,說明管線表面腐蝕越嚴重;亮色區域為保溫材料;亮色中較暗的部位為保溫層進水區域。從圖片中直觀的獲得管道表面腐蝕狀況和保溫材料進水情況,獲得了良好的檢測效果。

圖3 某管道X射線檢測照片
X射線成像技術在不拆除保溫層結構的情況下,可以快速、真實、直觀地反映設備或管道表面的腐蝕以及保溫層結構的滲水情況,是一種直觀、高效的無損檢測技術。但是,由于X射線穿透能力較強,該方法僅能針對小范圍區域進行檢測,不適用于大面積的篩查。并且X射線對人體有一定的輻射傷害,操作人員應當進行適當的防護。
2.6 超聲導波檢測技術
超聲導波檢測技術的原理是將磁性鐵鈷薄條粘貼在被測物體表面上并施加超聲波,該超聲波沿被測物體傳播并被其表面的形狀所約束。當被測物體表面存在缺陷時會反射回相應的信號,并在接收線圈上產生變化的電壓,從而實現對缺陷部位的定位。
廣東省特檢院季鵬等[27]采用超聲導波技術對7條管道實施保溫層下腐蝕檢測,發現多處缺陷部位,檢測效率高。謝浩平等[28]采用同樣的方法對導波檢測技術進行了驗證,認為該技術可用于保溫層下管道缺陷的檢出和辨識。超聲導波較傳統超聲波傳播距離長,通常在20~30 m的范圍內衰減很小,現場檢測時拆除一段保溫層結構就可以實現長距離的檢測,擴大了檢測范圍,提高了檢測效率;但是,超聲波受溫度、保溫層結構、涂層、支架及彎頭等因素影響,適用于-20~120℃的溫度,因此,在布置探頭位置時需要進行合理的選擇[29]。
此外,超聲導波檢測設備價格較高,雖然能夠提供被測物體的整體腐蝕狀況(平均壁厚),但檢測結果不能區分出內外壁的缺陷,且對點蝕等孤立缺陷的檢出率較低。因此,在采用超聲導波檢測前,應進行綜合分析,設置合理的閾值,從而更高效地檢測出缺陷的位置和大小[30]。
2.7 基于金屬電位差的在線監測技術
基于金屬電位差在線監測技術采用的是電化學原理,其原理如圖4所示。兩種金屬材料之間存在電位差,將其同時浸入電解質溶液中時,二者與溶液之間形成了電極電位。該技術通過將設備或管道與金屬保護層用導線連接,采用萬用表定期監測二者之間電位的變化,實現對保溫層結構進水情況的監測[31]。

圖4 基于金屬電位測試原理
基于金屬電位差在線監測技術實施方法簡單,在不破壞保溫層結構的前提下,僅需要使用導線將其引出,節約了監測成本,而且該技術響應快、檢測靈敏度高,可以在第一時間發現保溫層進水情況,并配合目視檢查進一步確認。但是,該技術無法對已經進水的保溫層進行進水程度量化評定,因此更適合用于石油化工企業保溫層下腐蝕的日常監測。
3 檢測技術對比分析
基于前文對保溫層下腐蝕各種檢測方法進行了詳細的分析和評價,從可操作性、工作量、效率、效果、成本費用及安全等方面對不同CUI檢查方法的優缺點進行對比,見表1。
表1 不同CUI檢測方法的對比

4 結 語
隨著石油化工裝置運行年限的增加,設備和管道的保溫層下腐蝕問題變得突出,逐漸受到越來越多的重視。目視檢查和滲透檢測等傳統檢測方法雖然有一定的直觀性,但是在檢查效率、成本等方面存在著明顯的不足。未來,無損檢測技術將在保溫層下腐蝕的預防和檢測方面發揮更大的作用,采用多種檢測技術的組合應用,實現各種檢測技術的優勢互補將成為未來CUI檢測的主流形式。此外,針對不銹鋼保溫層下應力腐蝕開裂的新型檢測方法的研究和應用也將取得突破。
作者:李曉煒1,2,樊志帥1,2,段永鋒李1,2 (1.中石化煉化工程集團洛陽技術研發中心;2.中國石油化工集團石化設備防腐蝕研究中心)











